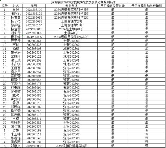
导航痕迹 欧冠官方网站 欧冠投注官网入口  学院首页  通知公告  正文 学院新闻 通知公告 科研动态 就业服务 学生工作 聚焦资源 师生风采 关于确定2025年秋季发展对象及推荐参加党校培训学员名单公示 2025年10月16日 根据《中国共产党章程》、省教育工委《关于加强新形势下发展党员和党员管理工作的实施意见》,按照“控制总量、优化结构、提高质量、发挥作用”的总要求,经各党支部考察推荐、学院党委审批,现确定严子佳等36位同志为2025年秋季学期发展对象,推荐王雁西等31位同志参加本期校党校发展对象培训班培训,现将具体名单公示如下,公示期为2025年10月16日——2025年10月22日。 公示期间,若有异议请及时以真实姓名向欧冠投注官网入口党委办公室刘丹反映。 地 点:3教316室。 中共欧冠投注官网入口委员会 2025年10月16日 上一条:欧冠投注官网入口关于2024-2025学年“陈育新优秀学生奖学金二等奖”和“优秀学生奖学金”拟评结果的公示 下一条:学院关于做好2025-2026学年(上)发展团员工作的通知 【关闭】